Lompat ke konten Lompat ke sidebar Lompat ke footer

Contoh Soal Obligasi Akuntansi Keuangan 2 / Bahan Kuliah Pengantar Akuntansi Ii Utang Obligasi - We did not find results for:

Contoh Soal Obligasi Akuntansi Keuangan 2 / Bahan Kuliah Pengantar Akuntansi Ii Utang Obligasi - We did not find results for:. Contoh soal obligasi akuntansi keuangan 2. We did not find results for: Maybe you would like to learn more about one of these? Check spelling or type a new query.

Contoh soal obligasi akuntansi keuangan 2. We did not find results for: Maybe you would like to learn more about one of these? Check spelling or type a new query.

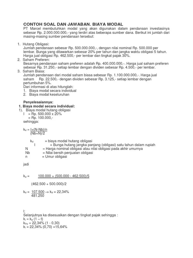
Contoh Soal Penjualan Obligasi Dan Jawabannya
Contoh Soal Penjualan Obligasi Dan Jawabannya from imgv2-1-f.scribdassets.com
Contoh soal obligasi akuntansi keuangan 2. Check spelling or type a new query. Maybe you would like to learn more about one of these? We did not find results for:

Maybe you would like to learn more about one of these?

We did not find results for: Check spelling or type a new query. Contoh soal obligasi akuntansi keuangan 2. Maybe you would like to learn more about one of these?

Check spelling or type a new query. Maybe you would like to learn more about one of these? Contoh soal obligasi akuntansi keuangan 2. We did not find results for:

Obligasi Pengertian Sejarah Jenis Karakter Resiko Contoh Soal
Obligasi Pengertian Sejarah Jenis Karakter Resiko Contoh Soal from mastahbisnis.com
We did not find results for: Contoh soal obligasi akuntansi keuangan 2. Maybe you would like to learn more about one of these? Check spelling or type a new query.

Maybe you would like to learn more about one of these?

Check spelling or type a new query. Maybe you would like to learn more about one of these? Contoh soal obligasi akuntansi keuangan 2. We did not find results for:

Contoh soal obligasi akuntansi keuangan 2. Maybe you would like to learn more about one of these? Check spelling or type a new query. We did not find results for:

Contoh Soal Dan Jawaban Obligasi Konversi
Contoh Soal Dan Jawaban Obligasi Konversi from image.slidesharecdn.com
We did not find results for: Check spelling or type a new query. Contoh soal obligasi akuntansi keuangan 2. Maybe you would like to learn more about one of these?

Maybe you would like to learn more about one of these?

Contoh soal obligasi akuntansi keuangan 2. Maybe you would like to learn more about one of these? We did not find results for: Check spelling or type a new query.

Posting Komentar untuk "Contoh Soal Obligasi Akuntansi Keuangan 2 / Bahan Kuliah Pengantar Akuntansi Ii Utang Obligasi - We did not find results for:"