Beranda
/ Rumus Limit Fungsi Aljabar / Mengenal Limit Fungsi Trigonometri - Fungsi tersebut memiliki limit l pada titik masukan p bila f(x) dekat pada l ketika x.
Rumus Limit Fungsi Aljabar / Mengenal Limit Fungsi Trigonometri - Fungsi tersebut memiliki limit l pada titik masukan p bila f(x) dekat pada l ketika x.
Rumus Limit Fungsi Aljabar / Mengenal Limit Fungsi Trigonometri - Fungsi tersebut memiliki limit l pada titik masukan p bila f(x) dekat pada l ketika x.. Berdasarkan konsep umum matematika yang diperoleh dari permasalahan tersebut, kita mampu menyelesaikan kembali permasalahan yang serupa. = limit f '(x) (aturan l' hospital). Belajar materi limit fungsi aljabar/trigonometri mulai dari rumus, contoh grafik dan tabel dan contoh soal latihan beserta dengan pembahasan. Terus latih kemampuan sobat dengan mengerjakan contoh soal matematika. Contohnya seperti materi fungsi aljabar, limit hingga turunan aljabar yang kami bahas secara lengkap dan mudah untuk dipahami di atas.
Savesave rumus singkat limit fungsi aljabar for later. Limit fungsi aljabar adalah salah satu konsep dasar yang ada di dalam kalkulus dan analisis, mengenai konsep limit fungsi aljabar. Rumus limit fungsi aljabar tak terhingga? V(x), hasil demikianlah ulasan dari seputarpengetahuan.co.id tentang turunan fungsi aljabar , semoga dapat menambah wawasan dan pengetahuan kalian. Contohnya seperti materi fungsi aljabar, limit hingga turunan aljabar yang kami bahas secara lengkap dan mudah untuk dipahami di atas.
Menyelesaikan Nilai Nilai Limit Dengan Cara Substitusi Dan Pemfaktoran from asset.kompas.com Substitusikan saja nilai x, berikutnya dilanjutkan dengan tipe metode turunan yaitu limit x menuju angka tertentu dimana jika disubstitusikan langsung. Limit fungsi aljabar dibagi menjadi dua, yaitu limit fungsi untuk x mendekati a dan limit fungsi di titik tak berhingga. Dan dibaca sebagai batas f x sebagai x mendekati c sama dengan l. Savesave rumus singkat limit fungsi aljabar for later. Menentukan limit fungsi aljabar bila variabelnya mendekati tak berhingga bentuk limit fungsi aljabar yang variabelnya mendekati tak berhingga,diantaranya: F(x) = cos x → f '(x) = −sin x 3. Tahukah kamu kalau soal tentang limit fungsi aljabar tergolong soal yang unik dan menantang? Cara lain yang bisa digunakan untuk menyelesaikan soal limit yang.
Penjelasan definisi dan teorema limit lengkap dengan contoh soal & pembahasan.
Kata limit yang biasa kita dengar berarti sedikit atau mendekati, misalnya limited edition ini berarti persediaan yang sedikit atau mendekati habis. Berdasarkan konsep umum matematika yang diperoleh dari permasalahan tersebut, kita mampu menyelesaikan kembali permasalahan yang serupa. Contohnya seperti materi fungsi aljabar, limit hingga turunan aljabar yang kami bahas secara lengkap dan mudah untuk dipahami di atas. Belajar materi limit fungsi aljabar/trigonometri mulai dari rumus, contoh grafik dan tabel dan contoh soal latihan beserta dengan pembahasan. Penjelasan definisi dan teorema limit lengkap dengan contoh soal & pembahasan. Limit fungsi aljabar adalah nilai hampiran suatu fungsi pada suatu bilangan real. Limit fungsi aljabar ialah merupakan suatu penentuan nilai fungsi aljabar apabila pada perubahan fungsi tersebut mendekati nilai tertentu. Dalam matematika, limit umum dituliskan dengan: 0 ratings0% found this document useful (0 votes). Setelah mengenal definisi turunan fungsi aljabar, selanjutnya kita bisa gunakan beberapa sifat turunan fungsi aljabar untuk menyelesaikan masalah yang berkembang. Semoga rangkuman materi limit fungsi aljabar pada kesempatan kali ini dapat membantu para sahabat rumushitung.com semua. Rumus limit fungsi aljabar tak terhingga? Dalam rumus limit, batas fungsi biasanya ditulis sebagai.
V(x), hasil demikianlah ulasan dari seputarpengetahuan.co.id tentang turunan fungsi aljabar , semoga dapat menambah wawasan dan pengetahuan kalian. Limit fungsi aljabar ialah merupakan suatu penentuan nilai fungsi aljabar apabila pada perubahan fungsi tersebut mendekati nilai tertentu. Contohnya seperti materi fungsi aljabar, limit hingga turunan aljabar yang kami bahas secara lengkap dan mudah untuk dipahami di atas. Artikel ini akan mengulas strategi penyelesaian limit fungsi aljabar, aturan l'hopital dan modifikasi turunan, serta contoh soal. Limit suatu fungsi merupakan salah satu konsep mendasar dalam kalkulus dan analisis, tentang kelakuan suatu fungsi mendekati titik masukan suatu fungsi memetakan keluaran f(x) untuk setiap masukan x.
Tentang Matematika Rumus Dasar Limit Fungsi Trigonometri Yang Memuat Identitas Trigonometri from 2.bp.blogspot.com Pendekatan x ke a mapu dilihat dari dua sisi yaitu. Cara lain yang bisa digunakan untuk menyelesaikan soal limit yang. Berdasarkan konsep umum matematika yang diperoleh dari permasalahan tersebut, kita mampu menyelesaikan kembali permasalahan yang serupa. Rumus limit fungsi aljabar tak terhingga? Lim x mendekati n f(x) = a, jika dan hanya jika x. Tentukan nilai limit fungsi aljabar dari. Dalam matematika, limit umum dituliskan dengan = limit f '(x) (aturan l' hospital).
Hal tersebut sama halnya dengan limit fungsi aljabar.
Savesave rumus singkat limit fungsi aljabar for later. Hal tersebut sama halnya dengan limit fungsi aljabar. Demikian juga dengan rumus limit fungsi aljabar yang diajarkan kepada siswa ketika menginjak sma. Limit fungsi aljabar dibagi menjadi dua, yaitu limit fungsi untuk x mendekati a dan limit fungsi di titik tak berhingga. Artinya, jika x mendekati a dan x tidak sama dengan a maka f(x) mendekati l. Kalian bisa menyimak penjelasan guru, membaca buku pedoman siswa. Cara lain yang bisa digunakan untuk menyelesaikan soal limit yang. V(x), hasil demikianlah ulasan dari seputarpengetahuan.co.id tentang turunan fungsi aljabar , semoga dapat menambah wawasan dan pengetahuan kalian. Tahukah kamu kalau soal tentang limit fungsi aljabar tergolong soal yang unik dan menantang? Contohnya seperti materi fungsi aljabar, limit hingga turunan aljabar yang kami bahas secara lengkap dan mudah untuk dipahami di atas. Limit fungsi aljabar adalah nilai hampiran suatu fungsi pada suatu bilangan real. Dalam rumus limit, batas fungsi biasanya ditulis sebagai. Fungsi tersebut memiliki limit l pada titik masukan p bila f(x) dekat pada l ketika x.
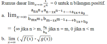
Fungsi tersebut memiliki limit l pada titik masukan p bila f(x) dekat pada l ketika x. Dalam matematika, limit umum dituliskan dengan Pendekatan x ke a mapu dilihat dari dua sisi yaitu. Berdasarkan konsep umum matematika yang diperoleh dari permasalahan tersebut, kita mampu menyelesaikan kembali permasalahan yang serupa. Besar pangkat pembilang dan penyebut.
Mengenal Limit Fungsi Trigonometri from rz.utakatikotak.com Limit suatu fungsi merupakan salah satu konsep mendasar dalam kalkulus dan analisis, tentang kelakuan suatu fungsi mendekati titik masukan suatu fungsi memetakan keluaran f(x) untuk setiap masukan x. Berdasarkan konsep umum matematika yang diperoleh dari permasalahan tersebut, kita mampu menyelesaikan kembali permasalahan yang serupa. Terus latih kemampuan sobat dengan mengerjakan contoh soal matematika. Penjelasan definisi dan teorema limit lengkap dengan contoh soal & pembahasan. Artikel ini membahas cara mencari nilai limit dan rumus cepat limit menuju tak hingga. Berikut penjelasannya nah, sekian materi tentang limit fungsi aljabar: Cara menghafal rumus limit pun sebenarnya sangatlah mudah karena tidak sekompleks materi lainya. F(x) = cos x → f '(x) = −sin x 3.
Soal latihan pengembangan rumus turunan fungsi ajabar.
Setelah mengenal definisi turunan fungsi aljabar, selanjutnya kita bisa gunakan beberapa sifat turunan fungsi aljabar untuk menyelesaikan masalah yang berkembang. Semoga rangkuman materi limit fungsi aljabar pada kesempatan kali ini dapat membantu para sahabat rumushitung.com semua. F(x) = cos x → f '(x) = −sin x 3. Sampai ketemu lagi di materi pembahasan yang berikutnya. Dalam pengoprasian limit fungsi aljabar, terkadang nilai x mendekati tak berhingga (∞), sehingga jika disubstitusikan fungsi menghasilkan nilai tak tentu. Contohnya seperti materi fungsi aljabar, limit hingga turunan aljabar yang kami bahas secara lengkap dan mudah untuk dipahami di atas. F(x) = tan x → f '(x) = sec 2. Selanjutnya kita akan membahas tentang limit fungsi aljabar dan limit fungsi tak hingga. Besar pangkat pembilang dan penyebut. Soal latihan pengembangan rumus turunan fungsi ajabar. Artikel ini akan mengulas strategi penyelesaian limit fungsi aljabar, aturan l'hopital dan modifikasi turunan, serta contoh soal. Limit fungsi aljabar adalah salah satu konsep dasar yang ada di dalam kalkulus dan analisis, mengenai konsep limit fungsi aljabar. Dikatakan unik karena dapat dikerjakan dengan berbagai.
Berbagi
Posting Komentar
untuk "Rumus Limit Fungsi Aljabar / Mengenal Limit Fungsi Trigonometri - Fungsi tersebut memiliki limit l pada titik masukan p bila f(x) dekat pada l ketika x."
Posting Komentar untuk "Rumus Limit Fungsi Aljabar / Mengenal Limit Fungsi Trigonometri - Fungsi tersebut memiliki limit l pada titik masukan p bila f(x) dekat pada l ketika x."